Предмет: Алгебра,
автор: sokolovk168
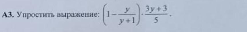
А3. Упростить выражение: 171) 3y+3 5
Приложения:
Ответы
Автор ответа:
0
Відповідь:
3/5
Пояснення:
у+1-у/у+1 × 3(у+1)/5=
1/у+1 × 3(у+1)/5=
3/5
Сподіваюсь допоміг))
Похожие вопросы
Предмет: Математика,
автор: Necessar
Предмет: Українська мова,
автор: fssfsfsfsfsssffs
Предмет: Математика,
автор: onoprienkoartur28
Предмет: Информатика,
автор: Klon919