Предмет: Математика,
автор: viktorcherik
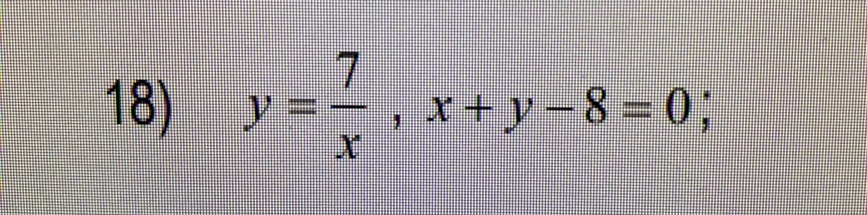
Обчислити площу фігури ,обмежену кривими
Приложения:
Ответы
Автор ответа:
1
Ответ: 10,379 кв.ед.
Пошаговое объяснение:
Строим графики функций y=7/x и x+y-8=0 => y=8-x; (См. скриншот)
S=s(ABmCD)=s(ABnCD).
s=∫ₐᵇf(x)dx.
По формуле Ньютона-Лейбница
∫ₐᵇf(x)dx = F(x)|ₐᵇ = F(b) - F(a).
По графику определяем пределы интегрирования a=1; b=7.
Проверим, решив систему
7/x = 8-x.
x1=a=1; x2=b=7. Тогда
S=∫₁⁷(8-x)dx - ∫₁⁷(7/x)dx = 24 - 13.621 = 10,379 кв.ед.
1) ∫₁⁷(8-x)dx = ∫₁⁷8dx -∫₁⁷xdx = 8(x)|₁⁷ - 1/2(x²)|₁⁷ = 8(7-1) - 1/2(7²-1²) =
= 48 - 1/2(48) = 48-24 = 24 кв.ед.
2) ∫₁⁷(7/x)dx = 7*ln(x)|₁⁷ = 7(ln7 - ln1) = 7*(ln7) = 13.621 кв.ед.
Приложения:
viktorcherik:
Спасибо большое,у мене еще есть два нерешительных вопроса,на которые никто не ответил,если не сложно то ответить и на них пожалуйста
Похожие вопросы
Предмет: Литература,
автор: madinaabdraimova000
Предмет: Математика,
автор: Аноним
Предмет: Математика,
автор: gospodinNET
Предмет: Математика,
автор: dmitrijvokin50
Предмет: Русский язык,
автор: veronika261532