Предмет: Математика,
автор: ababak1311
допоможіть, будь ласка
Приложения:
Ответы
Автор ответа:
0
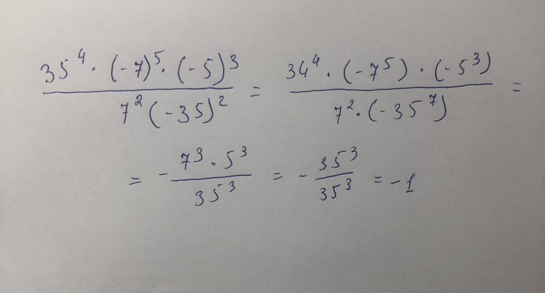
Дивись на відповідь на фото
Приложения:
Автор ответа:
0
Ответ:
Смотри решение на фото..
Приложения:
Похожие вопросы
Предмет: Биология,
автор: benniburlakov70
Предмет: Математика,
автор: ev1sufragmovie
Предмет: Геометрия,
автор: ruslanazmamedov12
Предмет: Математика,
автор: temirlantolegen01
Предмет: Математика,
автор: lenapanina1515