Предмет: Математика,
автор: vincentkim1506
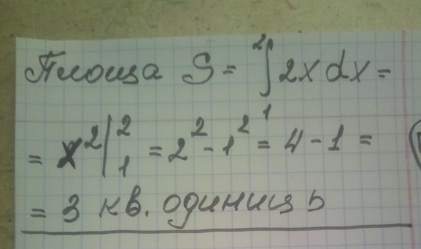
визначити площу заштрихованої фігури
срочно!!!
Приложения:
Ответы
Автор ответа:
1
Ответ:
решение смотри на фотографии
Приложения:
Похожие вопросы
Предмет: Химия,
автор: bozhkonata0408
Предмет: Українська мова,
автор: kakaeka864
Предмет: Английский язык,
автор: kurganvioletta
Предмет: Алгебра,
автор: efths