Предмет: Алгебра, автор: efths

Помогите пожалуйста Алгебра 10-11 класс Дам 30 баллов

Приложения:

Ответы

Автор ответа: andreevvlad377
1

Ответ:

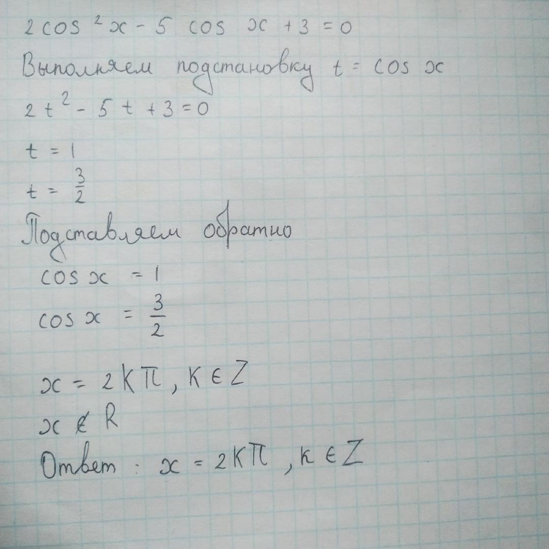
На фотографиях решение

Объяснение:

Приложения:
Автор ответа: sonata85ua
1

Ответ:

Объяснение:

1. Замена: cos x=t, |t | \leq1

2t^{2} -5t+3=0

D= (-5)^{2}  -4 *2 *3=25-24=1

t_{1}  = \frac{5-1}{2*2} =\frac{4}{4} =1

t_{1}  = \frac{5+1}{2*2} =\frac{6}{4} =1.5  > 1

cos x = 1

x =2\pi n, n ∈Z

2.    cos 2x < -\frac{\sqrt{3} }{2}

\frac{5\pi }{6}  +2\pi n <2x< \frac{7\pi }{6}  +2\pi n ,  n ∈Z

\frac{5\pi }{12}  +\pi n <x< \frac{7\pi }{12}  +\pi n, n ∈Z

Похожие вопросы
Предмет: Українська мова, автор: musina78