Предмет: Алгебра, автор: 39002365

СРОЧНО!!!Знайдіть похідну функції​

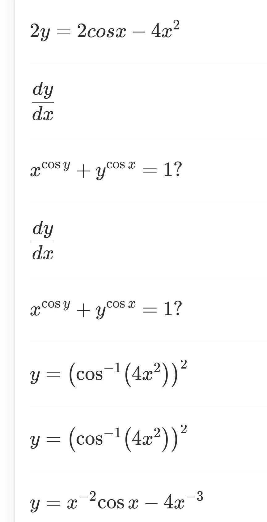
Приложения:

Ответы

Автор ответа: liliarudancik
1

Объяснение:

у=cos‐¹(1-2x²)

Это же просто

Приложения:
Похожие вопросы
Предмет: Українська мова, автор: polinka4928
1. РОЗСТАВИТИ ПРОПУЩЕНІ РОЗДІЛОВІ ЗНАКИ. На поле вибіг схудлий за зиму заєць стрибнув підняв вуха і аж залопотів по ріллі. Я бачу все ліс сосновий річку широку поля. Моя країно як багато ти зазнала бід. 2. КОМУ ТРЕБА ПОСТАВИТИ ПЕРЕД СПОЛУЧНИКОМ (1). А До гаю я йду і серце моє пташкою співає. Б Ми боремося за мир і щастя. В Відривалось листя від гілля і сипалося на доріжки. Г Я добрим людям подякував за хліб і науку. 3. ВИЗНАЧИТИ, ДО ЯКОЇ ЧАСТИНИ МОВИ ВІДНОСЯТЬСЯ СЛОВА. Зелень, річковий, малювати, гамірно, двійко, хтозна-який, сотня, червоногарячий, по-батьківськи, півтораста. 4. ВИЗНАЧИТИ ФОРМИ ДІЄСЛОВА. Говорити, співайте, замовлено, пишучи, зафарбований, насолоджуюсь, сказано, приїхавши, майорiти, прочитана. 5. ЯКИМ ЧЛЕНОМ РЕЧЕННЯ ВИСТУПАЄ ВИДІЛЕНЕ ДІЄСЛОВО В НЕОЗНАЧЕНІЙ ФОРМІ. Прийшла пора ЗБИРАТИ врожаї. Б додаток Г означення А присудок В обставина 6. ВІД ФОРМ ДІЄСЛІВ НЕДОКОНАНОГО ВИДУ УТВОРIТЬ ФОРМИ ДІЄСЛІВ ДОКОНАНОГО ВИДУ. Прибувати, забувати, читати, м'яти, любити, співати, дарувати, летіти, розповідати, писати.​