Предмет: Математика, автор: holymollyse

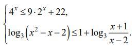
Решите систему неравенств

Приложения:

Ответы

Автор ответа: filuksistersp735lh
1

Ответ:

x  \in(2; log_{2}11]

Приложения:

holymollyse: можешь объяснить, пожалуйста, как ты решил с логарифмами во втором неравенстве? типа откуда там появился второй логарифм и тп..
filuksistersp735lh: 1 — это значение логарифма, в котором аргумент и показатель одинаковы, поэтому я записала 1 как log_{3} 3
filuksistersp735lh: Далее я воспользовалась свойством : при сложении логарифмов с одинаковым основанием можем записать их под одним основанием но аргументы умножить
filuksistersp735lh: далее если с обох сторон неравенста у нас логарифми за одинаковим основанием то можно прировнять их аргументи
filuksistersp735lh: Ну и не забываем, что если основание логарифма больше 1 то, мы не меняем знак неравенства;
filuksistersp735lh: точно, за одз забила
filuksistersp735lh: аргумент всегда должен бить положительним
Похожие вопросы
Предмет: Английский язык, автор: yoomoney050
Предмет: Математика, автор: davidso20121227