Предмет: Математика,
автор: warhololka2011
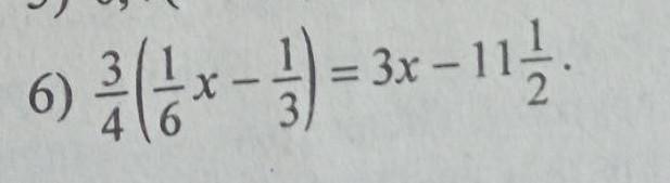
Допоможіть будь ласка
Помогите пожалуйста
Приложения:
Ответы
Автор ответа:
1
Ответ:
19
Пошаговое объяснение:
.........................
warhololka2011:
Точно?
спасибо
Автор ответа:
0
х=90/23
………………………………………………………
………………………………………………………
Похожие вопросы
Предмет: География,
автор: nastya14379
Предмет: Алгебра,
автор: zombiemax1906
Предмет: История,
автор: cuk7729
Предмет: Математика,
автор: DAHE4KAA