Предмет: Алгебра,
автор: Stasvovk
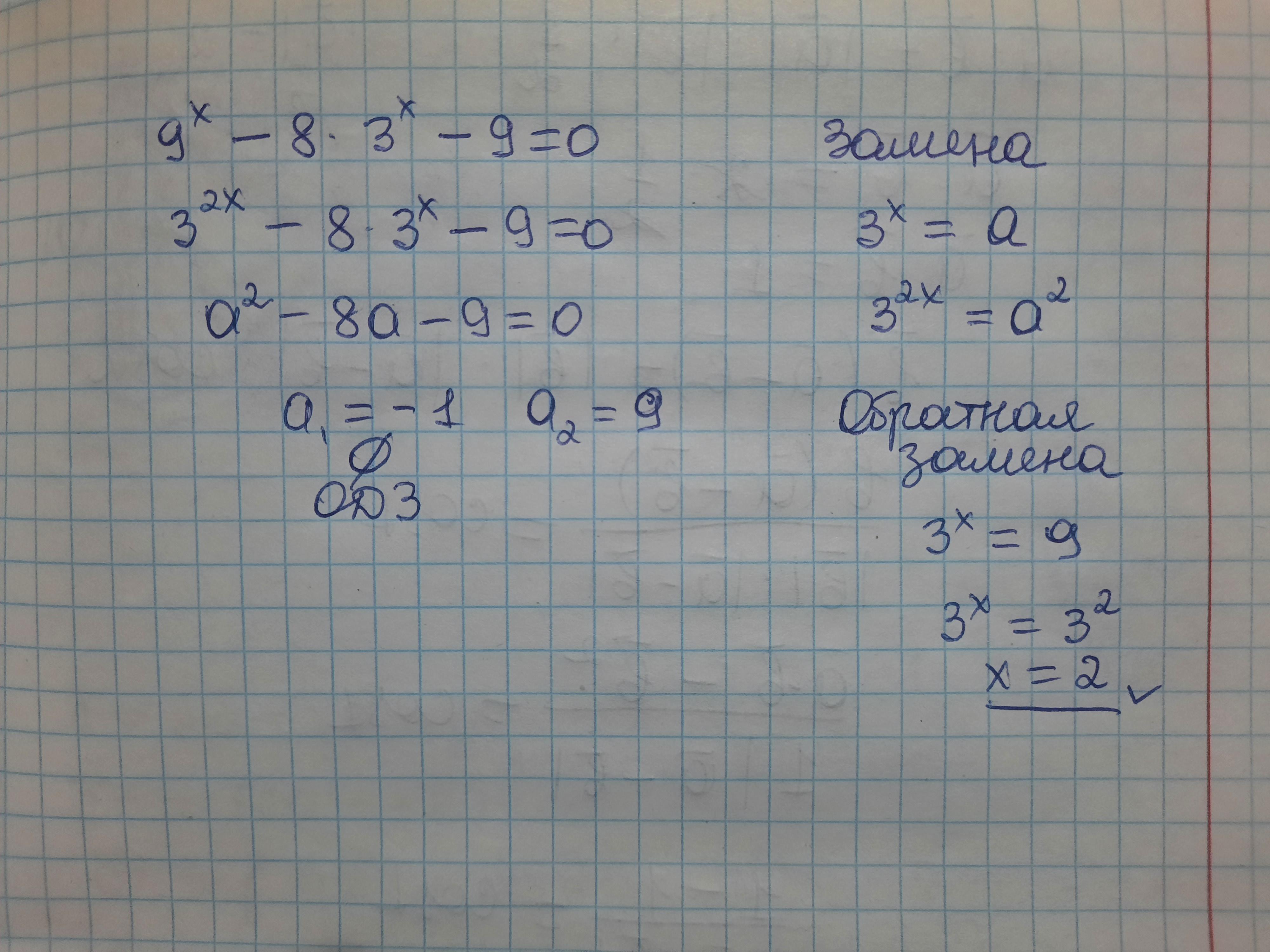
Знайдіть КОРЕНІ рівняння 9^х -8×3^х -9=0
Приложения:
Ответы
Автор ответа:
1
Ответ:
2
Объяснение:
Надеюсь, что всё понятно и правильно
Приложения:
Stasvovk:
Тільки один корінь виходе?) В умові треба знайти кореНІ
Похожие вопросы
Предмет: Қазақ тiлi,
автор: milkistop793pon
Предмет: Математика,
автор: Yukich0
Предмет: География,
автор: muratovarystan2020
Предмет: Химия,
автор: aiaoaiaiaoaaaaaooo