Предмет: Алгебра,
автор: vika182091
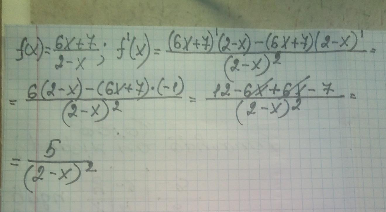
Знайди похідну функції. f (x) = 6x+7/2-x
Ответы
Автор ответа:
1
Ответ:
решение смотри на фотографии
Приложения:
Автор ответа:
0
Ответ:
6x+7/2-x=-6x²-12x+7/2-x
Объяснение:
1) преобразовать выражение
2)раскрыть скобки
3) поменяйте порядок слагаемых или множителей
4)ответ готов
Похожие вопросы
Предмет: Физика,
автор: kirillrusev5912
Предмет: Информатика,
автор: brawlstars228glent
Предмет: Математика,
автор: rymarulana9
Предмет: Информатика,
автор: andrejking772
Предмет: Математика,
автор: zeka7771966