Предмет: Математика,
автор: boykoirina011
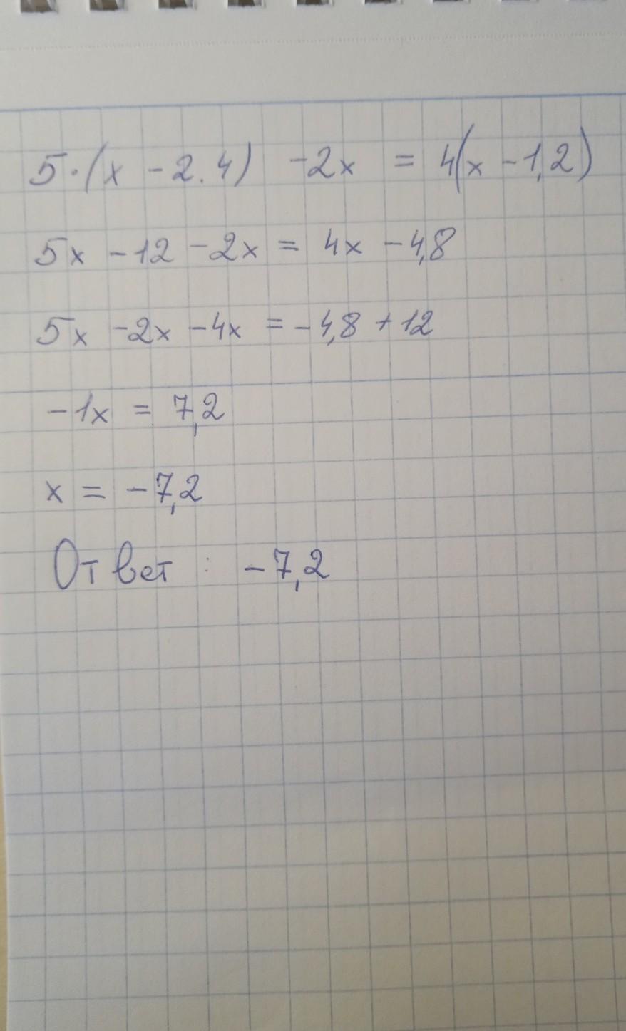
5(x-2.4)-2x=4(x-1.2)
Ответы
Автор ответа:
1
Ответ:
Вроде так как-то.
Приложения:
Автор ответа:
0
Пошаговое объяснение:
.......................
Приложения:
Похожие вопросы
Предмет: Геометрия,
автор: polkovnikovatatyana1
Предмет: Математика,
автор: sanzhararystanov
Предмет: Українська мова,
автор: Аноним
Предмет: Українська мова,
автор: bojkoa036
Предмет: Химия,
автор: maksimvelikhov