Предмет: Алгебра, автор: viviasms123

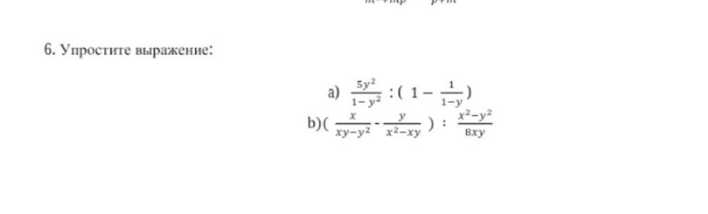
6. Упростите выражение: b) ( 5y² 1-y² (1- ху-уч х²-ху - 1-у ): x²-y2 8xy

срочно пожалуйста даю много баллов​

Приложения:

Ответы

Автор ответа: Mathiik
5

Відповідь:

Пояснення:

Надеюсь, помог

Приложения:
Похожие вопросы
Предмет: Қазақ тiлi, автор: tleulenovaaiaulym
Мереке күндерı ауа райы жоспарынызды бузбауы тиiс. кб не болжам айларында Астана каласында ыстык болады. Дегенмен, Астананын ауа райы ауыспалы, еткiншi жанбыр болуы мүмкін. Қолшатырынызды колтыгынызга кыса келсенiз, артыктыгы жок. А мәтіні Стильдерi Қарамен берілген сөздерге түсіндірме: . **** Не туралы? Негiзгi акпарат Косымша акпарат Ерекшеліктері 2. Екi мәтiндегi негiзгi және қосымша ақпараттарды корсетіңіз. А мәтiнi О мәтіні Ә мәтіні [5] [5] Жазылым Берілген такырыптардың бірін тандап, сипаттау эссесін жазыныз. Эссенiн кұрылымын 120-150 сөз. Жазба жұмысы (кіріспе, негізгі бөлім, қорытынды) ескеріңіз. Сөз көлемі кезiнде дыбыстар жүйесін, үндестiк занын, емлелік ерекшеліктерді сактап, орфографиялык нормаға сай жазыныз. [10] Ал I. Адамдардың мәдениет бар жерде бар дейміз. қарым-қатынасы өзара материалдық және рухани мәдениеттi бiр-бiрiнен ажырата бiлемiз бе? Материалдык және рухани байлығы бір бойынан табылатын ең жақын туысынызды сипаттап, эссе жазыныз. Мәтiн курылымын ескерiнiз дасы изне помогите пожалуйста дам 55бал​