Предмет: Алгебра,
автор: udzumakinaruto998
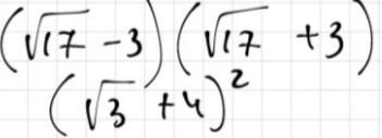
Виконати множення---
Приложения:
Ответы
Автор ответа:
1
Ответ:
1) (√17-3)(√17+3)=(√17)²-3²=17-9=8
2) (√3+4)²=(√3)²+2×4×√3+4²=3+8√3+16=8√3+19
Похожие вопросы
Предмет: Информатика,
автор: melekmamedzade5
Предмет: Математика,
автор: zasminakydyrbaj112
Предмет: Математика,
автор: evelina19092011
Предмет: Русский язык,
автор: dimakovalyov03
Предмет: Биология,
автор: valeria2999