Предмет: Алгебра, автор: alihanidrisov2010

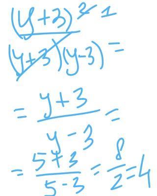
Упростите дробь: y²+6y+9/y²-9 найдите при y=5

СРОЧНО ПОЖАЛУЙСТА даю 40 баллов​


telikmilk: да,конечно

Ответы

Автор ответа: telikmilk
1

Объяснение:

сверху-как квадрат сумы

снизу-різниця квадратів

Приложения:

alihanidrisov2010: как
alihanidrisov2010: Выполните умнодение и деление алгеброических дробей a)48a⁵/49b⁴×7b²/16a³. b) c²-5c/c²-36:c²-25/c²+6c
telikmilk: в профиле плз
alihanidrisov2010: как типо задавать вопрос или кинуть сообщение
telikmilk: задавать вопрос
alihanidrisov2010: сколько баллов дать?
alihanidrisov2010: 60?
alihanidrisov2010: сойдет?
alihanidrisov2010: все я залал вопрос
alihanidrisov2010: д'
Похожие вопросы
Предмет: Немецкий язык, автор: Аноним