Предмет: Алгебра,
автор: radionkitabov
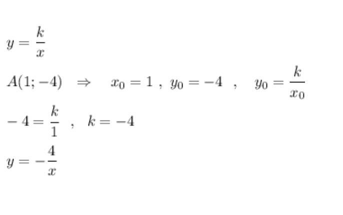
известно что график функции y=k/x проходит через точку A (кор. 2; -4кор. 2)
Ответы
Автор ответа:
1
Ответ:не благодарите.
Объяснение:
Приложения:
Похожие вопросы
Предмет: Английский язык,
автор: ariana7639
Предмет: География,
автор: v2349087
Предмет: География,
автор: anastasiavitruk773
Предмет: Українська мова,
автор: XDhellpp
Предмет: Геометрия,
автор: hajlovroman1070