Предмет: Математика,
автор: i06197595
решите пожалуйста даю 40 баловв
Приложения:
Ответы
Автор ответа:
0
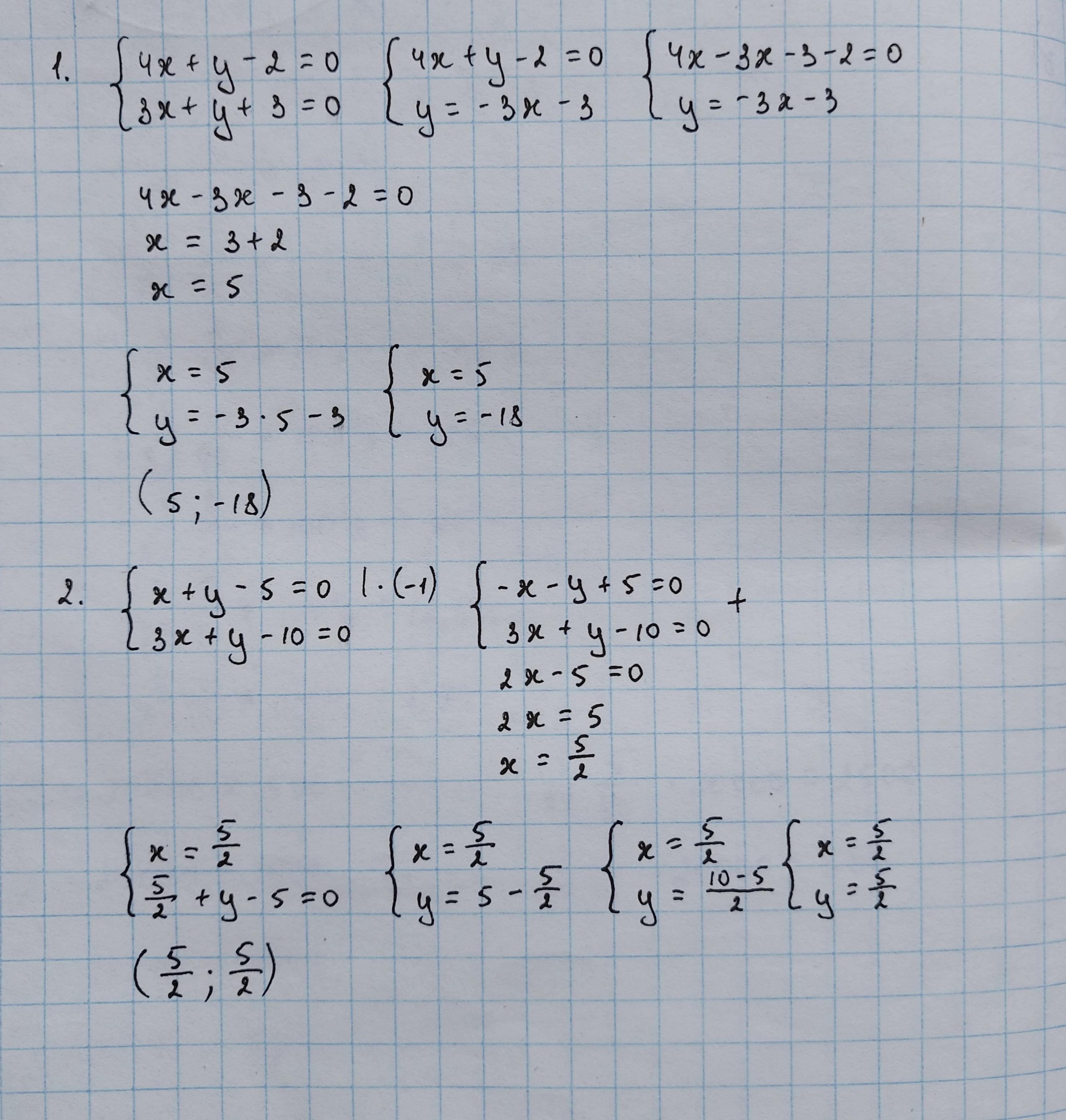
Ответ:
фото
Пошаговое объяснение:
Приложения:
Похожие вопросы
Предмет: Алгебра,
автор: maximzaverski
Предмет: Русский язык,
автор: firuzbekqambarov
Предмет: Биология,
автор: Аноним
Предмет: Геометрия,
автор: varMap2
Предмет: Английский язык,
автор: mala08