Предмет: Алгебра,
автор: Аноним
ДАЮ 100 БАЛЛОВ ПОМОГИТЕ СРОЧНО!!!
Приложения:
Universalka:
13 баллов , а не 100 .
Ответы
Автор ответа:
0
Ответ:
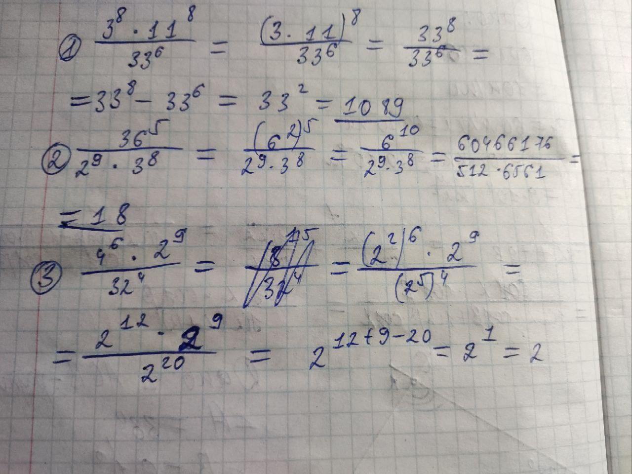
Расписал на фотографии.
Приложения:
Похожие вопросы
Предмет: Математика,
автор: kusekovamalika73
Предмет: Қазақ тiлi,
автор: ziabekkamila3
Предмет: Английский язык,
автор: asikaskaasiasya
Предмет: Українська мова,
автор: nazarpinkas8
Предмет: Українська мова,
автор: roman9810311