Предмет: Математика,
автор: ekaterina875113790
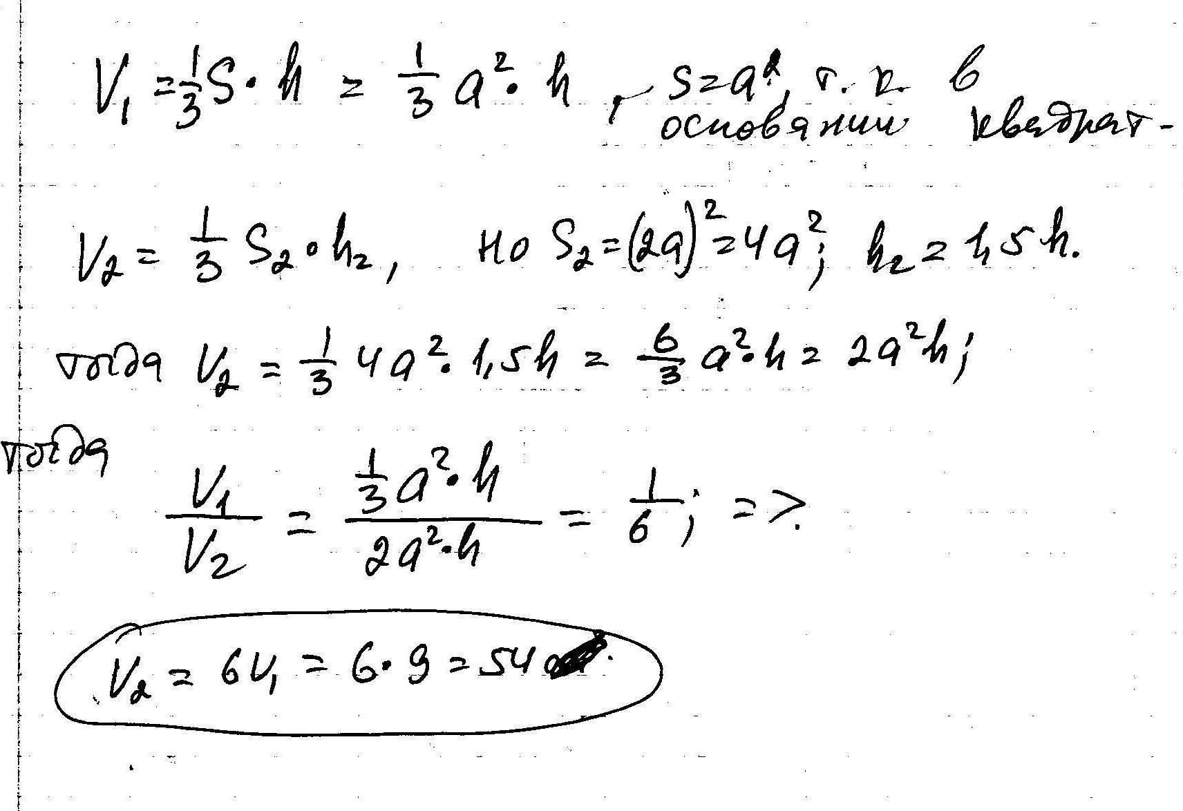
Помогите пожалуйста!! Даны две правильные четырехугольные пирамиды. У первой пирамиды объём равен 40 . Найди объём второй пирамиды, если известно, что её высота в 1,6 раза меньше, а сторона основания в 2 раза больше.
Ответы
Автор ответа:
0
Відповідь у фото ⬆️ ...............
Приложения:
ekaterina875113790:
Неправильно(
Ну, как смогла так и решила
Простите, если что...
Похожие вопросы
Предмет: Українська мова,
автор: user1090
Предмет: Физика,
автор: kyuna3705
Предмет: Математика,
автор: solomia1795
Предмет: История,
автор: robloxfullinnng
Предмет: Геометрия,
автор: denf0252