Предмет: Алгебра, автор: Мозгокошка

Даю 100 баллов алгебра помогите​

Приложения:

Ответы

Автор ответа: NNNLLL54
2

Ответ:

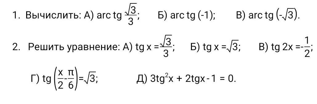
1)  Табличные значения .

\displaystyle \bf arctg\dfrac{\sqrt3}{3}=\dfrac{\pi }{6}\ \ ,\ \ \ arctg(-1)=-\dfrac{\pi }{4}\ \ ,\ \ \ arctg(-\sqrt3)=-\dfrac{\pi }{3}  

2)  Простейшее тригонометрическое уравнение :

    \bf tgx=a\ \ \ \Rightarrow \ \ \ x=arctg\, a+\pi n\ \ ,\ n\in Z\ \ \ ;\ \ \ arctg(-a)=-arctga  

\displaystyle \bf a)\ \ tgx=\frac{\sqrt3}{3}\ \ \ \to \ \ \ x=\frac{\pi }{6}+\pi n\ \ ,\ n\in Z\\\\\\b)\ \ tgx=\sqrt3\ \ \ \to \ \ \ x=\frac{\pi }{3}+\pi n\ \ ,\ n\in Z\\\\\\c)\ \ tg2x=-\frac{1}{2}\ \ \ \to \ \ \ 2x=-arctg\frac{1}{2}+\pi n\ \ ,\ \ x=-\frac{1}{2}\, arctg\frac{1}{2}+\frac{\pi n}{2}\ \ ,\ n\in Z

\bf \displaystyle d)\ \ tg\Big(\frac{x}{2}-\frac{\pi }{6}\Big)=\sqrt3\ \ \to \ \ \ \frac{x}{2}-\frac{\pi }{6}=\frac{\pi }{3}+\pi n\ \ ,\ \ \frac{x}{2}=\frac{\pi }{6}+\frac{\pi }{3}+\pi n\ \ ,\\\\\\x=\frac{\pi }{3}+\frac{2\pi }{3}+2\pi n\ \ ,\ \ \ x=\pi +2\pi n\ \ ,\ n\in Z\\\\\\e)\ \ 3\, tg^2x+2\, tgx-1=0\ \ ,\ \ zamena:\ t=tgx\ \ \ \to \\\\3t^2+2t-1=0\ \ ,\ \ D=b^2-4ac=4+12=16\ \ ,\\\\t_1=\frac{-2-4}{6}=-1\ \ ,\ \ t_2=\frac{-2+4}{6}=\frac{1}{3}  

Вернёмся к функции  tgx .

\displaystyle \bf tgx=-1\ \ \ \to \ \ \ x=-\frac{\pi }{4}+\pi n\ \ ,\ n\in Z\\\\tgx=\frac{1}{3}\ \ \ \to \ \ \ x=arctg\, \frac{1}{3}+\pi k\ \ ,\ k\in Z\\\\Otvet:\ x_1=-\frac{\pi }{4}+\pi n \ \ ,\ \ x_2=arctg\, \frac{1}{3}+\pi k\ \ ,\ \ n,k\in Z\ .  

Приложения:

Аноним: NNNLLL54, здравствуйте! у меня в профиле 3 вопроса по алгебре, можете помочь пожалуйста? никто кроме вас не может пожалуйста
Похожие вопросы
Предмет: Русский язык, автор: lianaaidusheva456
Предмет: Биология, автор: Аноним