Предмет: Математика,
автор: lavr12389
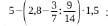
На фото ................
Приложения:
lavr12389:
По русски
Ответы
Автор ответа:
0
Відповідь:
9/5або1,8або1 4/5
Покрокове пояснення:
Похожие вопросы
Предмет: Право,
автор: rinameity5
Предмет: Биология,
автор: ddenisova411
Предмет: Математика,
автор: alinazaharova476
Предмет: История,
автор: princess9832
Предмет: Математика,
автор: gunnerban2007