Предмет: Алгебра,
автор: manassasha7
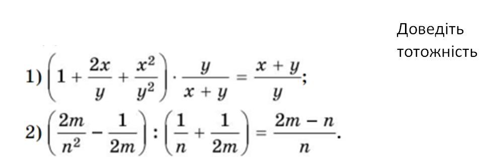
Поможіть зробить алгебру.
Даю 50 балів
Приложения:
Ответы
Автор ответа:
1
Ответ:
на фото
Объяснение:
Приложения:
Похожие вопросы
Предмет: Математика,
автор: Amil667
Предмет: Українська мова,
автор: DenysHavriushin
Предмет: История,
автор: bellixqw
Предмет: История,
автор: dorusofia
Предмет: Українська мова,
автор: vanessavolontur