Предмет: Алгебра,
автор: lizababicheva422
СРОЧНО!! ДАМ 20 БАЛОВ
Приложения:
Ответы
Автор ответа:
1
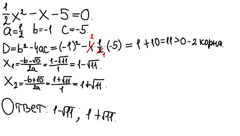
решаем с помощью дискриминанта.
надеюсь понятно !
Приложения:
lizababicheva422:
да, все понятно
Похожие вопросы
Предмет: История,
автор: 0982282222j
Предмет: Алгебра,
автор: masha01021
Предмет: Алгебра,
автор: AminaKairat
Предмет: Обществознание,
автор: Danildanya
Предмет: Биология,
автор: milana260321