Предмет: Алгебра,
автор: Аноним
Допоможіть будь ласка. Завдання на фото(
Приложения:
Ответы
Автор ответа:
2
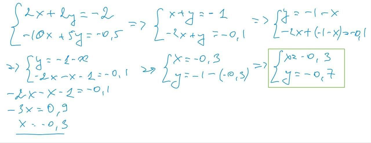
Відповідь:
(-0,3;-0,7)
Пояснення: на фото
Приложения:
Похожие вопросы
Предмет: Геометрия,
автор: pantilyaalex
Предмет: Музыка,
автор: ivanbondar1218
Предмет: Биология,
автор: zaychenkosss
Предмет: Қазақ тiлi,
автор: Sugaolua
Предмет: Алгебра,
автор: funnyday311