Предмет: Алгебра, автор: Аноним

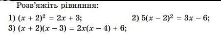
ДОПОЖІТЬ БУДЬ ЛАСКА ДУЖЕ ТЕРМІНОВО ЗНАЙТИ ЧЕРЕЗ ДИСКРИМІНАНТ ДАЮ 50 БАЛІВ ​

Приложения:

Ответы

Автор ответа: pavlovdenis966
0

Відповідь:

Пояснення:

на фотографії

Приложения:
Похожие вопросы
Предмет: История, автор: burdakpolina2