Предмет: Математика,
автор: Аноним
ПОМОГИТЕ ПЛИЗЗЗЗЗЗЗЗЗЗЗЗ
а и в
б делать не надо
Приложения:
Ответы
Автор ответа:
4
Відповідь:
а) х = 10,58. в) х = -4
Пояснення:
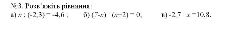
а) х : (-2,3) = -4,6
х : (-23/10) = -4,6
-х × 10/23 = -4,6
-10/23 = -4,6
х = -23/10 × (-23/5)
х = 529/50
х = 10,58
Відповідь: х = 10,58
в) -2,7 × х = 10,8
-2,7х : (-2,7) = 10,8 : (-2,7)
х = -4
Відповідь: х = -4
Похожие вопросы
Предмет: Химия,
автор: sashenka47
Предмет: Алгебра,
автор: vasylua6
Предмет: Геометрия,
автор: Alihan0612
Предмет: Математика,
автор: Kek213123123sik2266
Предмет: Биология,
автор: alekseevavaleria246