Предмет: Геометрия,
автор: mahavi0103
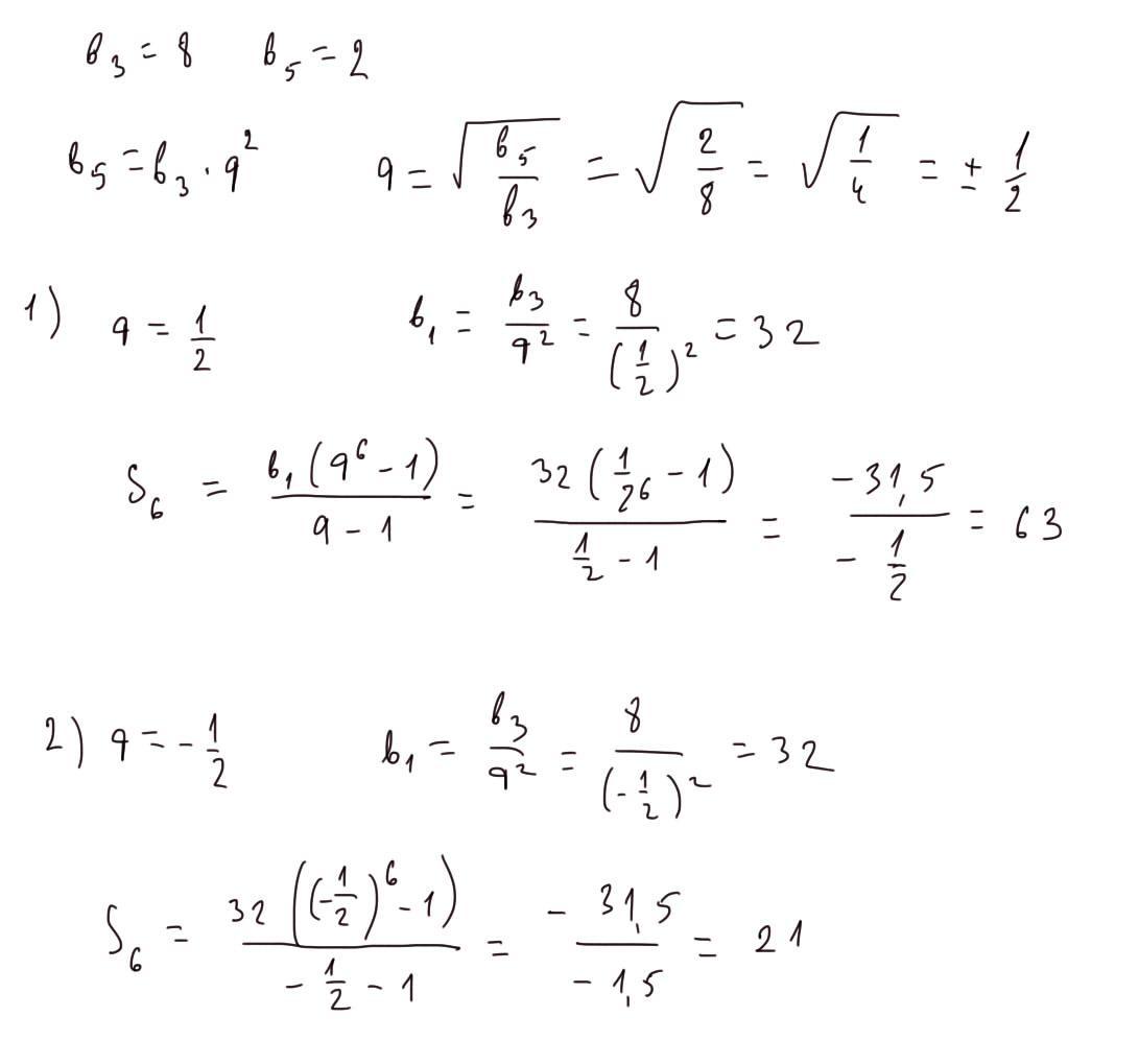
Знайдіть суму шести перших членів геометричної прогресії (bn), якщо b3 = 8, b5 = 2
Ответы
Автор ответа:
1
Ответ:
32 или 21
Объяснение:
Приложения:
Похожие вопросы
Предмет: Математика,
автор: Аноним
Предмет: Беларуская мова,
автор: timursestitko297
Предмет: Другие предметы,
автор: ksvitlana390
Предмет: Геометрия,
автор: zarkynkalamgali
Предмет: Русский язык,
автор: nurdauletbaizak