Предмет: Алгебра,
автор: digag94001
Даю 20 баллов, олимпиада
Приложения:
Ответы
Автор ответа:
0
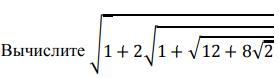
√(1 + 2√(1 + √12 + 8√2))
= √(1 + 2√(√4 * √3 + 1 + 8√2))
= √(1 + 2(2√3 + 1 + 8√2))
= √(4√3 + 16√2 + 3)
= √4 * √3 + 2 * 4 * √2 * √3 + √3 = 2√3 + 4√2 + √3
= 3√3 + 4√2
Похожие вопросы
Предмет: Физика,
автор: javokh83
Предмет: Физика,
автор: lenovo12032018
Предмет: Русский язык,
автор: mirinda41
Предмет: История,
автор: yanuraoshibaev
Предмет: Английский язык,
автор: syakubova1103