Предмет: Алгебра,
автор: rnk99
Дуже срочно треба рішити!!!Будь ласка
Приложения:
rnk99:
Вже колись давав інст, сказали за гроші. В мене немає картки
Ответы
Автор ответа:
0
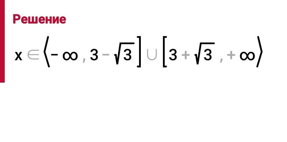
Ответ:
все по порядку сложено так что это ответ.
Объяснение:
1
【- — ,18 это первый
3
Приложения:
Похожие вопросы
Предмет: Қазақ тiлi,
автор: kamerdinovamalika876
Предмет: Информатика,
автор: mysya7654321
Предмет: Литература,
автор: anapoltavec2
Предмет: Русский язык,
автор: ajzanzenisbekova93
Предмет: Русский язык,
автор: alinaimanalenovaa200