Предмет: Алгебра,
автор: Youoik
Допоможіть будь'ласка терміново! Даю 35 балів!!
Приложения:
Ответы
Автор ответа:
0
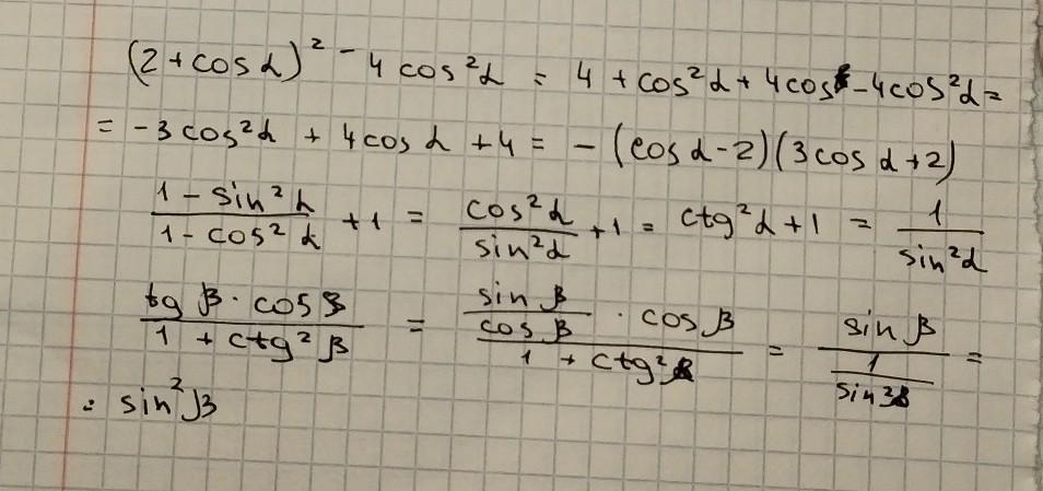
Ответ:
.....................
Приложения:
Похожие вопросы
Предмет: Физика,
автор: gavryulia11
Предмет: Русский язык,
автор: mariamatvienko436
Предмет: Физика,
автор: kunsajt14
Предмет: Математика,
автор: MOkkkkasddasd