Предмет: Алгебра,
автор: nastyalynnyk3
розв'яжіть рівняння:
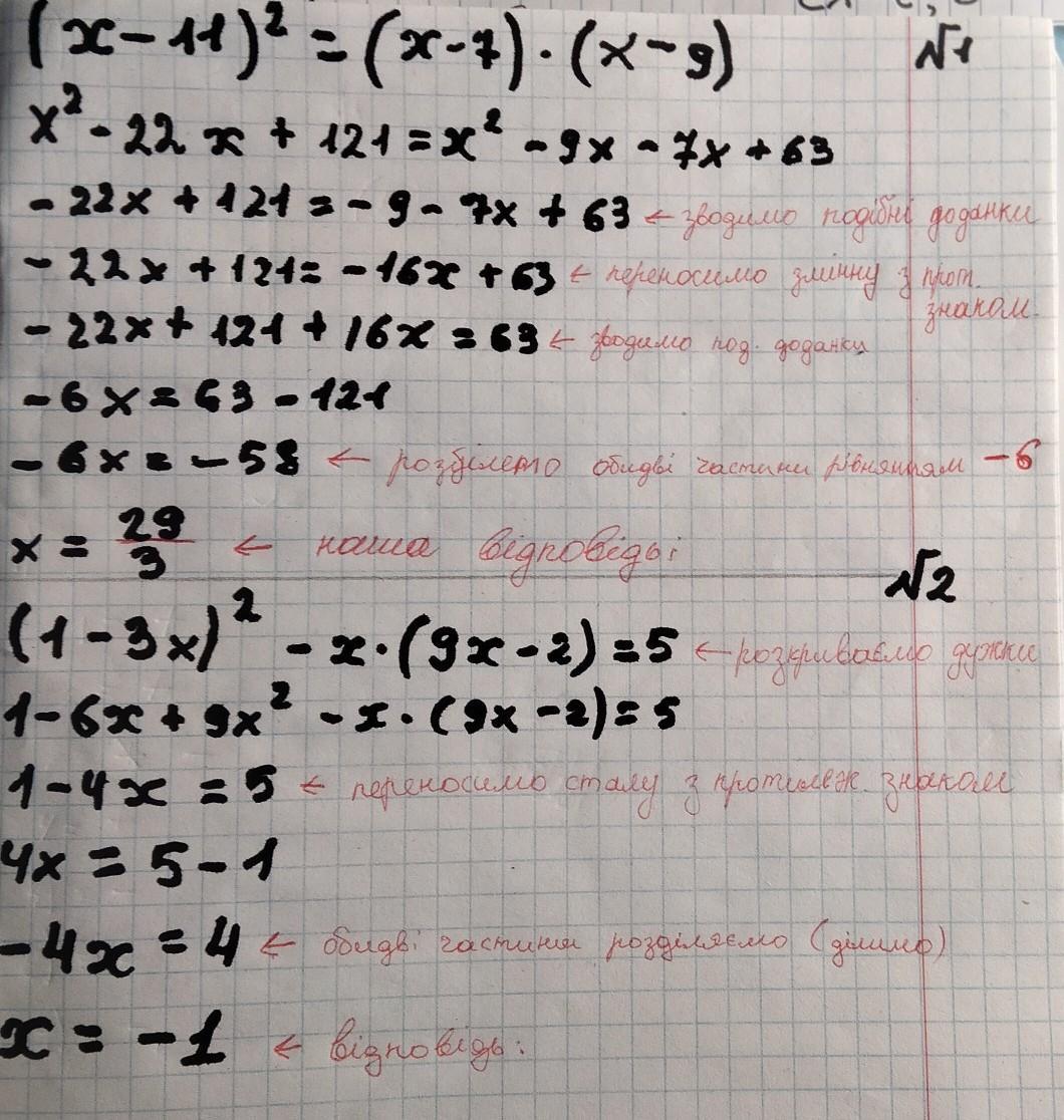
1). (х-11)^2=(х-7)(х-9)
2). (1-3х)^2-х(9х-2)=5
Ответы
Автор ответа:
0
дві відповіді на фото.
знаки "↑" це пояснення наступної дії
Приложения:
Похожие вопросы
Предмет: Русский язык,
автор: 123Daniilakula08
Предмет: Химия,
автор: darina51456
Предмет: Математика,
автор: edaeismoilova2
Предмет: Українська мова,
автор: nikeandy4