Предмет: Математика,
автор: Quarter48
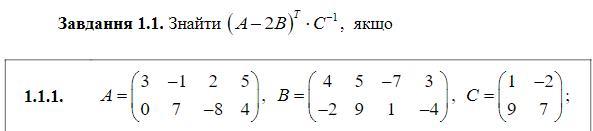
Вища Математика. Буду дуже вдячний
Приложения:
Ответы
Автор ответа:
0
Пошаговое объяснение:
посмотрите предложенный вариант; проверка не проводилась.
Приложения:
Похожие вопросы
Предмет: Математика,
автор: bekuahat
Предмет: Русский язык,
автор: sadikovajasmina74
Предмет: Математика,
автор: kozinec2011
Предмет: Английский язык,
автор: lubomur278