Предмет: Алгебра,
автор: adencik474
треба срочно
Завдання на фото допоможіть пж
Приложения:
Ответы
Автор ответа:
0
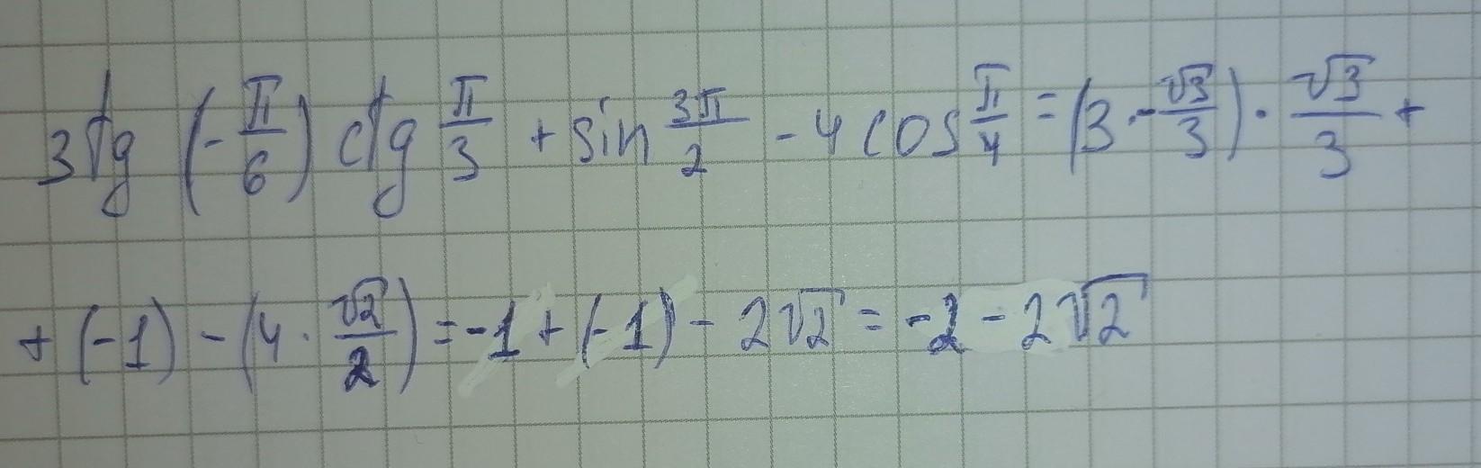
Ответ:
я спочатку забула - тепер вірно?
якщо відповідь правильна будь ласка поставте "лучший ответ". дякую
Приложения:
aarr04594:
Є помилка. Загубили мінус, що в тангенс.
тааак дякую що помітили зараз виправлю
Автор ответа:
1
Відповідь: фото
Пояснення:
розв'язання завдання додаю
Приложения:
Похожие вопросы
Предмет: Математика,
автор: zunusnurali02
Предмет: Биология,
автор: myroshnychenko37
Предмет: Английский язык,
автор: veradoca768
Предмет: Математика,
автор: sasagnezdilova85
Предмет: Қазақ тiлi,
автор: kadyrovanarmina07