Предмет: Математика,
автор: nigmatullaevamuhlisa
Помогите пожалуйста с объяснением
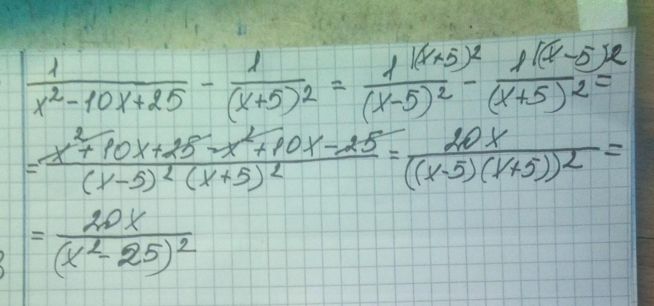
1/х²-10х+25-1/(х+5)²
Ответы
Автор ответа:
1
Ответ:
решение смотри на фотографии
Приложения:
nigmatullaevamuhlisa:
спасибо
вы мне очень помогли
Похожие вопросы
Предмет: Українська мова,
автор: 19282722992
Предмет: Математика,
автор: semenets6
Предмет: Алгебра,
автор: matveygoncharov20
Предмет: Қазақ тiлi,
автор: defenderven3
Предмет: Математика,
автор: Jonokoibala