Предмет: Математика,
автор: bogdangamer21
дай 20 баллов сросно
Приложения:
Ответы
Автор ответа:
0
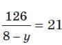
Ответ:вот
Пошаговое объяснение:
Приложения:
Похожие вопросы
Предмет: Математика,
автор: renatascharga10
Предмет: Українська мова,
автор: deno391clash
Предмет: Алгебра,
автор: fctdgsygfdhngfxzgsac
Предмет: Английский язык,
автор: frank50
Предмет: Русский язык,
автор: Ivlada