Предмет: Алгебра,
автор: omarkhanovaanelia
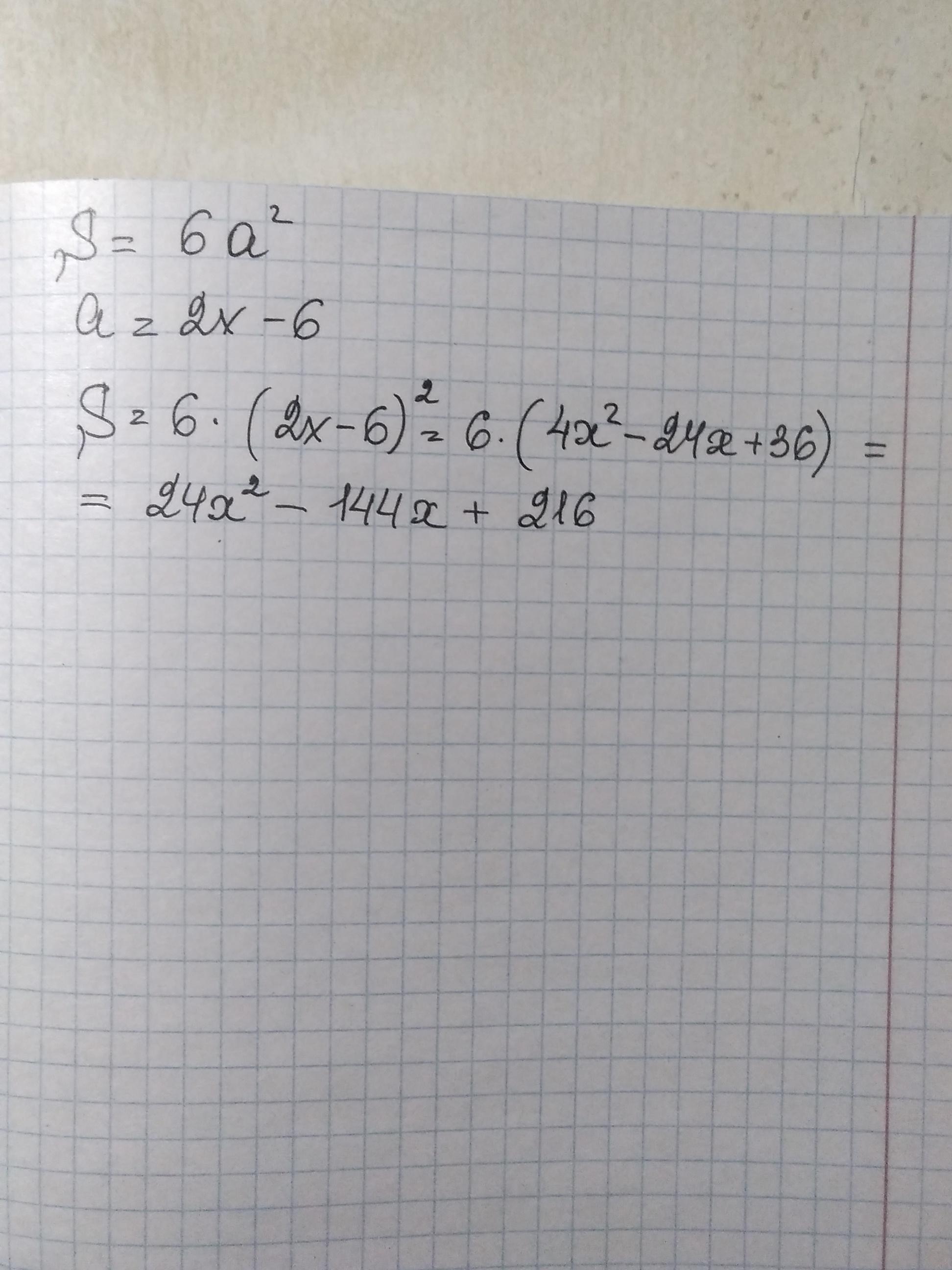
3. Напишите выражение для нахождения площади поверхности куба, используя формулу S=6а² a=2x-6
Приложения:
Ответы
Автор ответа:
2
Смотри..........................
Приложения:
omarkhanovaanelia:
Спасибо!
Похожие вопросы
Предмет: Алгебра,
автор: imfrs3sdopk579
Предмет: Английский язык,
автор: Arushkary
Предмет: Английский язык,
автор: Arushkary
Предмет: Алгебра,
автор: z1303z
Предмет: История,
автор: s0vyshkaa