Предмет: Алгебра,
автор: s8683774
розкладіть на множники:
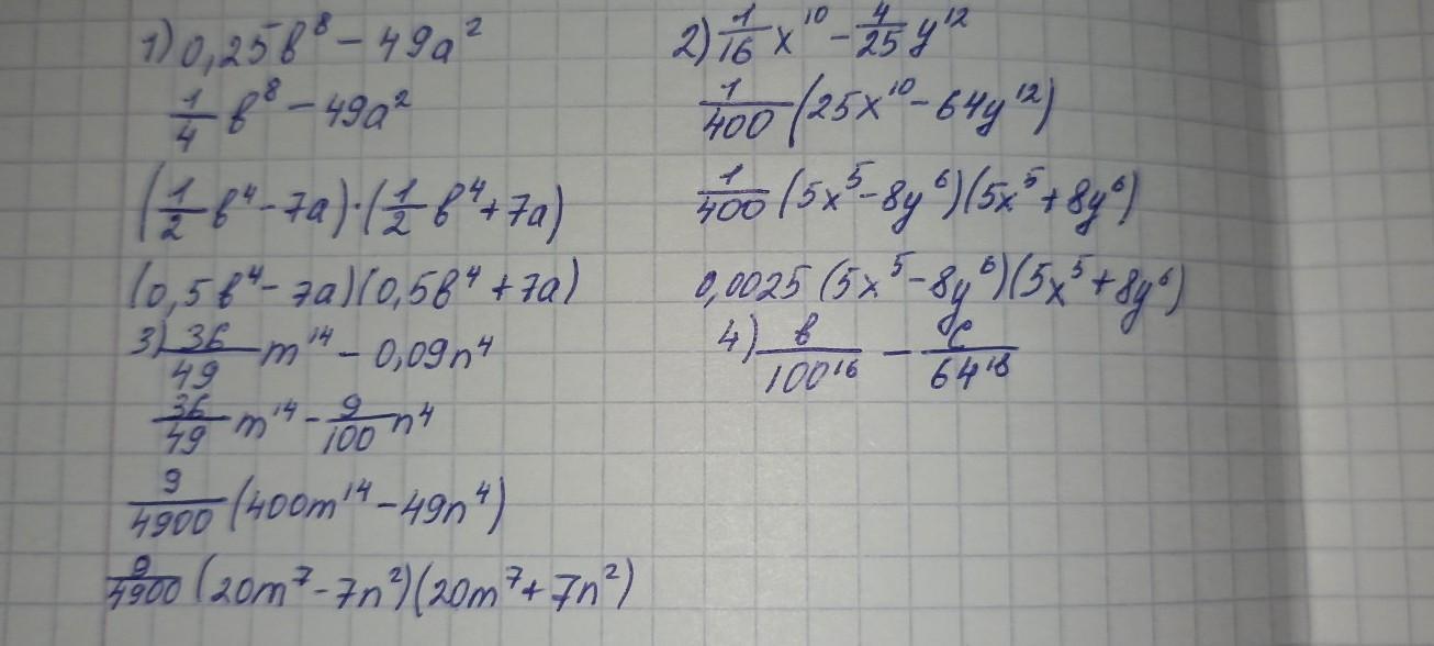
1) 0,25b⁸-49a²
2) 1/16x¹⁰- 4/25y¹²
3) 36/49m¹⁴-0,09n⁴
4) b/100¹⁶- c/64¹⁸
допоможіть будь ласка.
parus77:
в записи 4 примера все правильно?
Ответы
Автор ответа:
1
Ответ:
4 не знаю (
Объяснение:
надеюсь хоть немного помогла)
Приложения:
спасибо!
Автор ответа:
1
Ответ:
Объяснение:
решение и формула внизу
если проверите запись 4) и найдете ошибку,то напишите,я добавлю ответ
Приложения:
в 4) b у ¹⁶ степени и с у ¹⁸
Похожие вопросы
Предмет: Химия,
автор: Ukraine9999
Предмет: Алгебра,
автор: bbrruuhheerr
Предмет: Математика,
автор: Bandera02
Предмет: Геометрия,
автор: danilvelikiywows
Предмет: География,
автор: Gdbdvxhd