Предмет: Алгебра,
автор: vmmaksim357
СРОЧНО!!!!
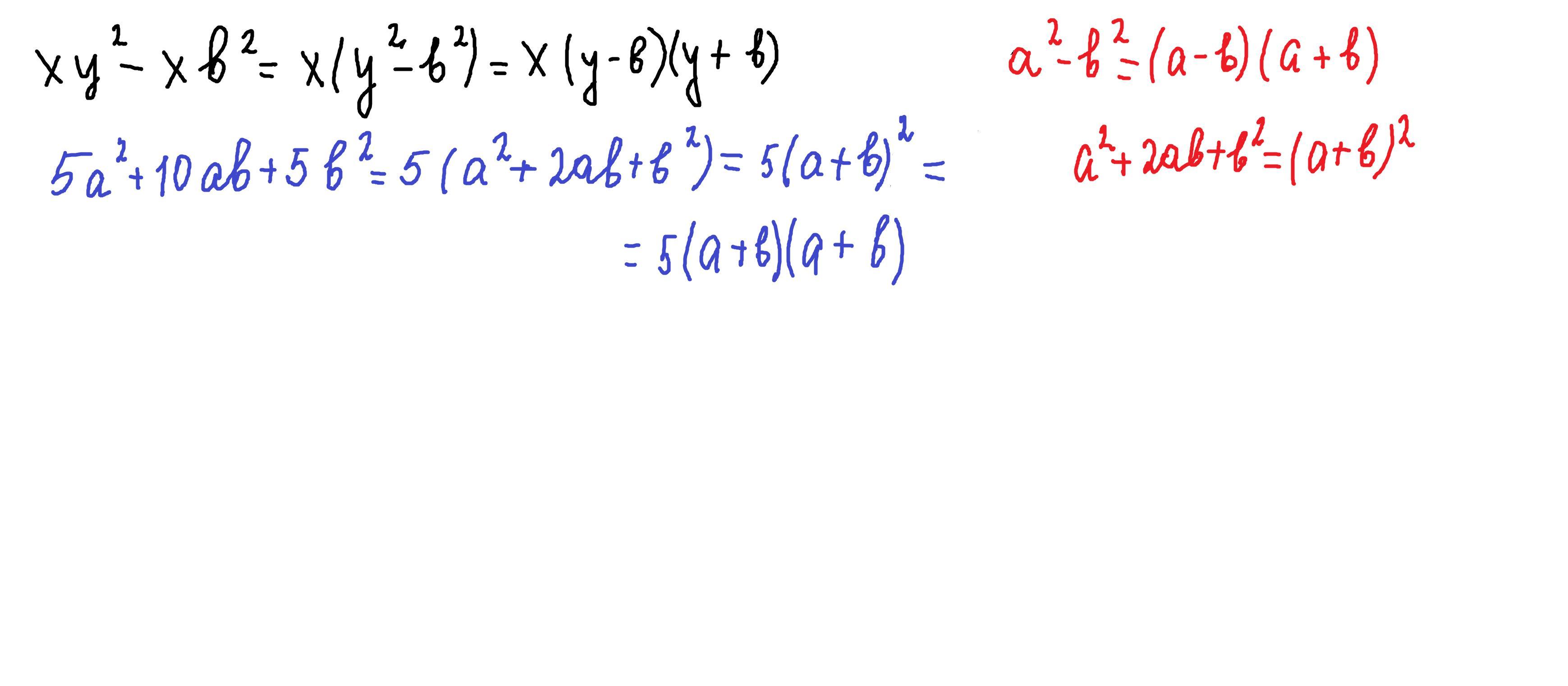
Розкладіть многочлен на множники
1) xy^2-xb^2 2) 5a^2+10ab+5b^2
Ответы
Автор ответа:
1
Ответ:
Объяснение:
решение и формулы к нему внизу
Приложения:
Похожие вопросы
Предмет: Геометрия,
автор: dimammm155
Предмет: Физика,
автор: mailforsteam9
Предмет: Английский язык,
автор: tepanyananna87
Предмет: География,
автор: 06659727222j