Предмет: Алгебра,
автор: kildyushevd
Помогите пожалуйста решить под буквой б, заранее спасибо.
Приложения:
Ответы
Автор ответа:
1
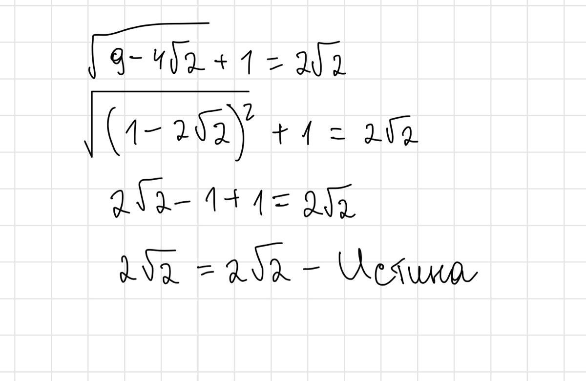
Вот ответ
…….()()()()…..
…….()()()()…..
Приложения:
Похожие вопросы
Предмет: Музыка,
автор: rekiianovalada
Предмет: Физика,
автор: ubijca525
Предмет: Українська мова,
автор: sams261216qe
Предмет: Русский язык,
автор: Azimahon
Предмет: Биология,
автор: mramiryt