Предмет: Алгебра,
автор: perederijila9
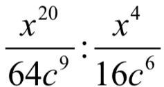
виконайте ділення помогите решить
Приложения:
Ответы
Автор ответа:
1
Ответ:
Объяснение:
решение внизу
Приложения:
Похожие вопросы
Предмет: Физика,
автор: hatkevichsvetlana010
Предмет: Українська мова,
автор: bd8bjc62zd
Предмет: Физика,
автор: suleymanmurselzada
Предмет: Литература,
автор: sulgaanna158