Предмет: Химия,
автор: romanzdan85
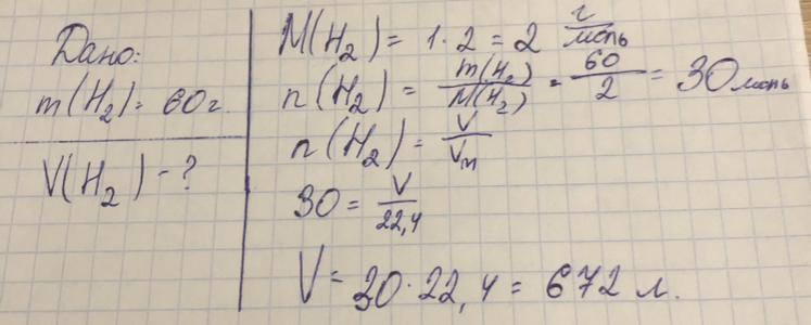
Вкажіть об'єм водню (н. у) масою 60 г.
Терміново потрібно .
8 клас
Ответы
Автор ответа:
0
Розв‘язання на фото.
Приложения:
Похожие вопросы
Предмет: Українська література,
автор: qqqx328
Предмет: Окружающий мир,
автор: ahtaevahanifa2012
Предмет: Литература,
автор: sofkawqi
Предмет: Биология,
автор: n998248