Предмет: Химия,
автор: lucsicandrej
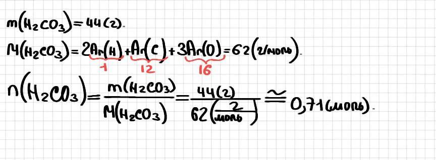
Молярная масса Найдите количество вещества 44гр угольной кислоты. Формула угольной кислоты H2CO3
(Правильно или нет?)
Приложения:
Ответы
Автор ответа:
1
Последняя строчка смущает.
Посмотрите внимательно решение в файле (ответ округлëн то сотых).
Приложения:
Похожие вопросы
Предмет: Математика,
автор: sofiykaaa2010
Предмет: Геометрия,
автор: kristinakorzenko215
Предмет: Українська мова,
автор: karinaivatskaja
Предмет: Литература,
автор: arinagoy123