Предмет: Алгебра,
автор: baunti13
Помогите, пожалуйста!!!!!!!!!!!!!!
Тут нужно всё расписать .. Прошу полный ответ
Приложения:
Ответы
Автор ответа:
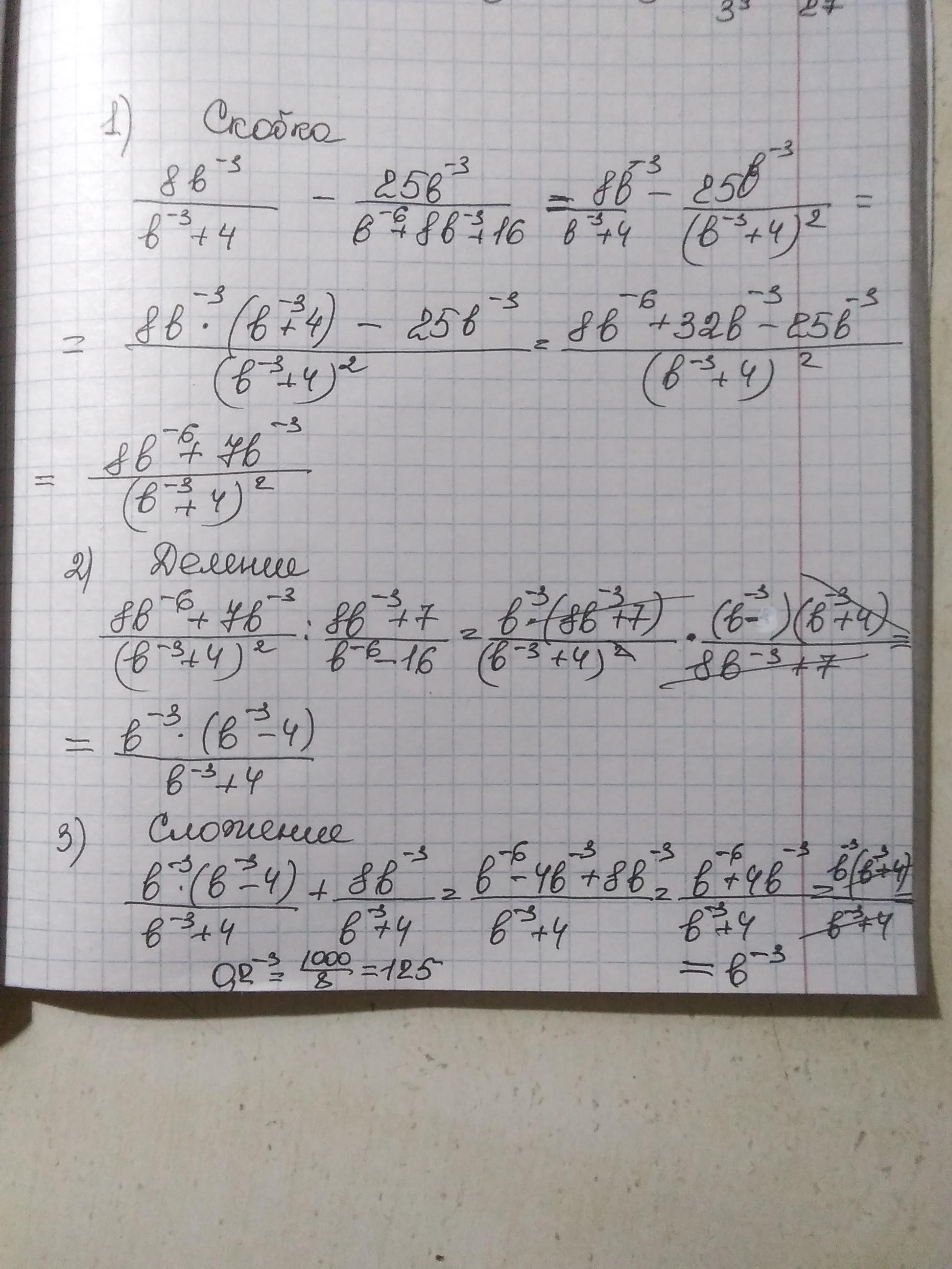
1
Смотри....................
Приложения:
baunti13:
Спасибо!!!!!!!!!!!!!!!!!!!!!!!!!!!!!!!!!!!!!!!!!!!!!!!!!!!!!!!!!!!!!!!!
А что за слово после 3) ? Я просто почерк чуть не поняла
Сложение
Похожие вопросы
Предмет: Алгебра,
автор: Nitr1x
Предмет: Українська література,
автор: timurivashkevich15
Предмет: Химия,
автор: taker9393
Предмет: Українська мова,
автор: Rikardo238
Предмет: Биология,
автор: Дашаi158