Предмет: Математика,
автор: Origamilan
Нужно решить 5 и 6
Помогите пж
Приложения:
Ответы
Автор ответа:
0
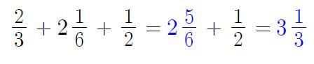
1 картинка= 5 задание
2,3,4,5=6 задание;
Приложения:
Похожие вопросы
Предмет: Геометрия,
автор: maksimsinkaruk992
Предмет: Українська література,
автор: martenslinda1
Предмет: Алгебра,
автор: ganstersasona
Предмет: Музыка,
автор: strizhovadarya
Предмет: Русский язык,
автор: tnt83