Предмет: Математика,
автор: innapastolatij
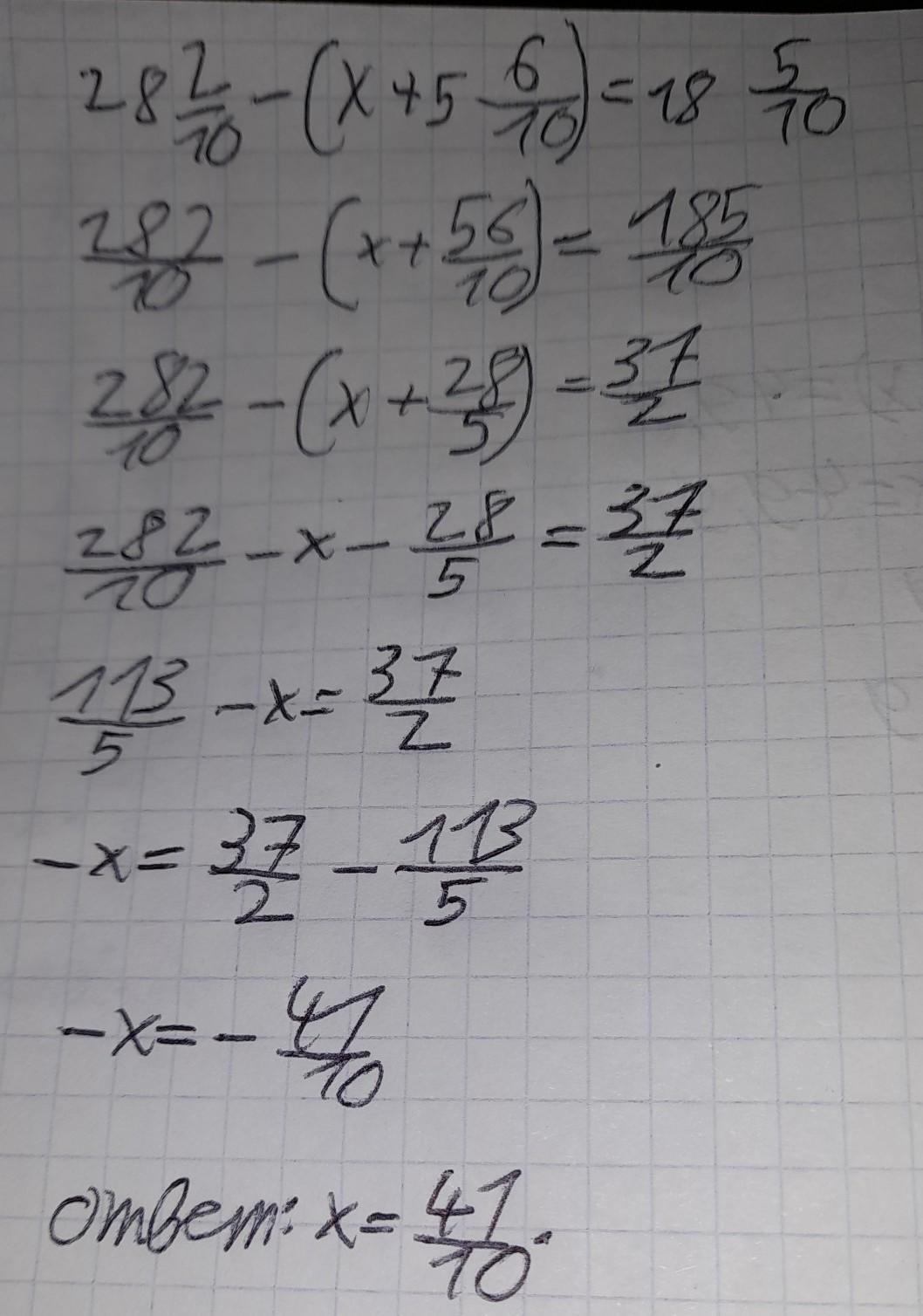
28 2/10-(х+ 5 6/10)=18 5/10 ПОМОГИТЕ РЕШИТЬ СРОЧНО ПЖ ЗДЕЛАТЬ
Ответы
Автор ответа:
0
Ответ:
смотри на фото
Пошаговое объяснение:
подпишись пж
Приложения:
innapastolatij:
а откуда взяли 37/2?
Похожие вопросы
Предмет: Другие предметы,
автор: qwupwi
Предмет: Французский язык,
автор: alserk03
Предмет: Математика,
автор: swastars00
Предмет: Математика,
автор: indeecbom
Предмет: Русский язык,
автор: manuknada9