Предмет: Математика,
автор: briuckmen
помогите пожалуйста
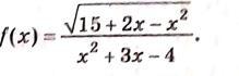
найти область значений функции
заранее спасибо
Приложения:
Ответы
Автор ответа:
0
√-х²+2х+15
_________
х²+3х-4
Приложения:
Похожие вопросы
Предмет: Геометрия,
автор: NeeekitX
Предмет: Алгебра,
автор: ulakapitan584
Предмет: Қазақ тiлi,
автор: savetoverbolat
Предмет: Английский язык,
автор: imperiavorona
Предмет: Биология,
автор: karsalnikova