Предмет: Физика,
автор: lerawp
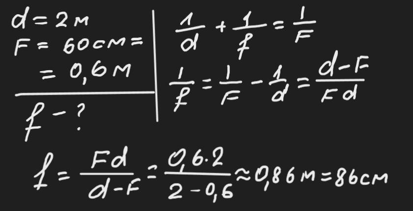
Вiдстань від предмета до збиральноï лінзи дорівнює 2 м. Визначте відстань вiд лiнзи до зображення, якщо фокусна відстань лінзи 60 см.
Ответы
Автор ответа:
1
Відповідь: ≈ 86 см
Пояснення:
Приложения:
Похожие вопросы
Предмет: Математика,
автор: Аноним
Предмет: Геометрия,
автор: asap917
Предмет: Математика,
автор: DemBodia2605
Предмет: Русский язык,
автор: hack201909
Предмет: Литература,
автор: sazonovs368