Предмет: Алгебра, автор: MDTHD68

Помогите, пожалуйста, задание на фото (скажите с объяснением)​

Приложения:

Ответы

Автор ответа: ebojeboj1
2

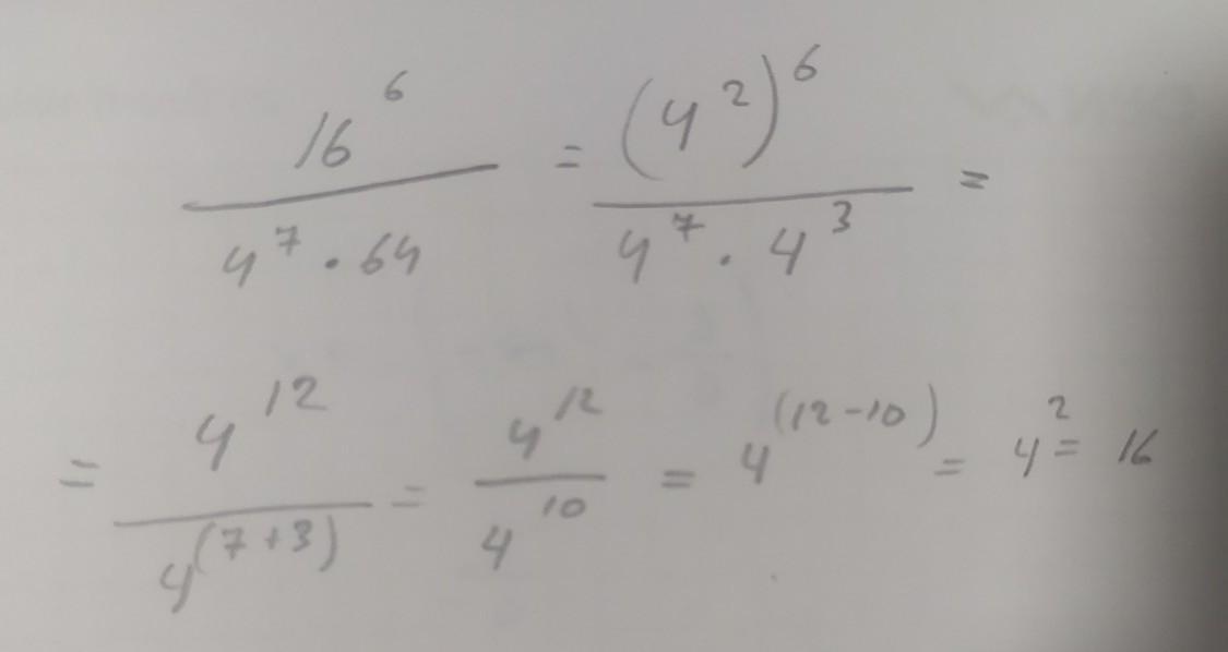
Это основа правил степеней

Эта задачка очень проста, ты просто не знаешь свойства степеней.

Приложения:

MDTHD68: кстати ты откуда?
MDTHD68: просто хочу понять мне нужно перевести или нет
ebojeboj1: Окей шяс решу
ebojeboj1: Знаешь где родина национального блюда "Плов"
MDTHD68: Ты узбек, афганистанец, таджик или туркмен?
MDTHD68: а или азербайджанец?
ebojeboj1: ахаха
ebojeboj1: Живу в Узбекистане
ebojeboj1: Но нация другая
MDTHD68: какая?
Похожие вопросы
Предмет: Информатика, автор: goga202011
ДОПОМОЖІТЬ!!! ДОПОМОЖІТЬ !!;;;!!!!!!!!!!!!

Практична робота №5.


Проєкти з кнопками, написами та полем, з вхідними даними і кінцевими результатами у середовищі програмування Python


(Бали:12)


Відкрийте середовище IDLE.Створіть нове вікно для введенння тексту проєкту. Складіть проєкт для обчислення значення виразу a * (4 * b – a).


Створіть проєкт з вікном розміру 400 ´ 300 пікселів (текст у рядку заголовка – ваше прізвище і ім’я).

Визначте, які компоненти потрібно розмістити на формі для введення вхідних даних і виведення результатів. Розмістіть їх на формі. Підпишіть їх.

(фото)


Створіть обробник події Click для кнопки для обчислення значення виразу і виведення результату.

Збережіть проєкт у папці з іменем ваше прізвище_практична робота №5.

Додайте файл до архіву і надішліть на перевірку вчителю

УВАГА! Домашні завдання виконуються українською мовою.
Предмет: Биология, автор: kuzovigorok2