Предмет: Геометрия,
автор: evgeniakruzina1914
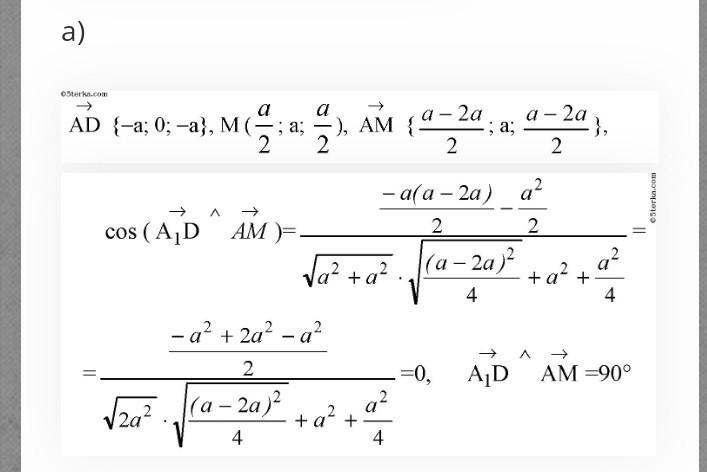
В кубе ABCDA1B1C1D1 найдите углы между прямой AD и прямой, соединяющей D и центр грани A1B1C1D1. Помогите пожалуйста решить.
Ответы
Автор ответа:
1
Ответ:
вотвотвотвотвоооттвоттттт
Приложения:
Похожие вопросы
Предмет: Химия,
автор: jdurueufucjdjj
Предмет: Алгебра,
автор: liyazaharova130125
Предмет: Математика,
автор: ilonasukhatska887
Предмет: Английский язык,
автор: Babymonster1