Предмет: Алгебра, автор: Аноним

Помогите плиз!! Срочно!!!!​

Приложения:

Ответы

Автор ответа: svetlanavaslarionova
0

Ответ:

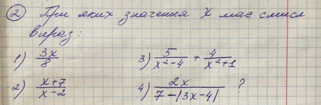
1) все значения х

2)х≠2

3) х≠2;х≠-2

Похожие вопросы
Предмет: Математика, автор: nastiastefanyshyn8
Предмет: Математика, автор: shegelovatomiris
Предмет: Английский язык, автор: malkovaad13
1. I (to eat) soup for dinner yesterday.
a) ate
b) eated
c) eaten
2. My parents (to come) home at 9 o’clock last night.
a) came
b) comed
c) come
3. Mike (not to do) his homework yesterday.
a) didn’t did
b) didn’t do
c) doesn’t do
4. Children (to hear) a terrible noise a minute ago.
a) heared
b) heart
c) heard
5. We (not to walk) last Sunday.
a) not walked
b) don’t walk
c) didn’t walk
6. Our neighbours (to sell) their car last month.
a) selled
b) sold
c) sell
7. She (to see) her cousin at school yesterday.
a) saw
b) seed
c) seen
8. Andrew (to help) his parents an hour ago.
a) helps
b) helped
c) helpet

9. Students (to discuss) ecological problems last lesson.
a) discusst
b) discuss
c) discussed
10. I (to send) a message to my friend 5 minutes ago.
a) sent
b) send
a) sended
11. I … TV too much.
a) not watch
b) doesn’t watch
c) don’t watch
12. She … an umbrella to work.
a) don’t carry
b) doesn’t carries
c) doesn’t carry
13. The boys … home after school.
a) don’t hurry
b) doesn’t hurry
c) not hurry
14. You … your parents.
a) doesn’t help
b) not to help
c) don’t help
15. Your children … well at school.
a) not to do
b) don’t do
c) doesn’t do
16. His sons … to the local school.
a) not to go
b) doesn’t go
c) don’t go
17. It … 30 pence.
a) doesn’t cost
b) doesn’t costs
c) don’t cost
18. She … fast.
a) doesn’t speaks
b) don’t speak
c) doesn’t speak
19. They … at 9 o’clock on Sundays.
a) don’t get up
b) don’t gets up
c) not to get up
20. My sister … milk.
a) doesn’t drinks
b) doesn’t drink
c) not drinks
Предмет: Қазақ тiлi, автор: katusha9558
4-нұсқа
1. Сөздің тура мағынасын табыңыз.
A) Ол бұл жолы үлбіреген қыз алыпты.
B) Сарғайған, әбден үлбіреп тозған қағаз екен.
C) Ер адам әйелін үлбіретіп ұстағаны жөн.
D) Ақша беті үлбіреп тұр.
E) Үлбірейді гүл алаңы.
2. Көп мағынаға ие бола алатын сөзді көрсетіңіз.
Бәрін қойып, ашық әңгімеге кірісейік.
A) Бәрін
B) ашық
C) қойып
D) кірісейік
E) әңгімеге
3. Антоним сөздерді табыңыз.
A) Үлкендік - ағалық.
B) Үбірлі - шүбірлі.
C) Тұнық - лай.
D) Ұялу - имену.
E) Асты - жаны.
4. Бірыңғай қысаң дауысты сөзді көрсетіңіз.
A) Тағала.
B) Қонақ.
C) Іңір.
D) Қаза.
E) Баста.
5. Ашық буынды сөзді табыңыз.
A) Кең.
B) Шалқар.
C) Тар.
D) Дара.
E) Жұмбақ.
6. Дефиссіз бөлек жазылатын шылауларды көрсетіңіз.
A) Ау, арқылы.
B) Бұрын, себепті, мыс.
C) Үшін, себепті, жуық.
D) Ақ, ай, кейін.
E) Екеш, не, ғой, ды.
7. Сөз аралығындағы кейінді ықпалды көрсетіңіз.
A) Атты кісі.
B) Сұрап ал.
C) Көшенің бойы.
D) Өлең өлшемі.
E) Қиындықтан қашса.
8. Туынды сөзді көрсетіңіз.
A) Үсті.
B) Соң.
C) Алыстан.
D) Қуырдақ.
E) Қызғылт.
9. Жалғаудың неше түрі барын көрсетіңіз.
A) 5
B) 3
C) 2
D) 6
E) 4
10. Түбір тұлғасын сақтап біріккен сөзді көрсетіңіз.
A) Қарақағаз.
B) Әкел.
C) Бүгін.
D) Жаздыгүні.
E) Биыл.
11. Бірыңғай көмекші есімді қатарды анықтаңыз.
A) Маңы, жеңіл.
B) Төбесі, бұрғы.
C) Жаны, арасы.
D) Ортасы, жүрісі.
E) Тұсы, тарағы.
12. Сапалық сын есімді табыңыз.
A) Көйлекшең.
B) Балалы.
C) Жауырынды.
D) Қалпақты.
E) Жұмыр.
13. Сан есiмнiң сұрақтарын белгілеңіз.
A) Кiм? не?
B) Не iстедi? қайттi?
C) Қанша? неше?
D) Не үшiн? кiм үшiн?
E) Қандай? қай?
14. Болымсыздық есiмдiгiн белгілеңіз.
A) Сол.
B) Әрбiр.
C) Барлық.
D) Ешқашан.
E) Әлдекiм.
15. Есімшені табыңыз.
A) Жүр.
B) Жүретін.
C) Жүргелі.
D) Жре.
E) Жүріп.
16. Үстеу қызметін анықтаңыз.
Елдің бәрі осында.
A) Толықтауыш.
B) Пысықтауыш.
C) Анықтауыш.
D) Бастауыш.
E) Баяндауыш.
17. Көмектес септіктегі сөзбен тіркесетін септеулік шылауды анықтаңыз.
A) Дейін.
B) Таман.
C) Соң.
D) Қатар.
E) Гөрі.
18. Септеулік шылау арқылы байланысқан сөздерді анықтаңыз.
A) Кешке таман жетті.
B) Итті қуды.
C) Алтын тіс.
D) Арқанмен түсті.
E) Жылтыраған сәуле.
19. Тұрақты сөз тіркесін табыңыз.
A) Қара торы.
B) Ашық күн.
C) Тас жүрек.
D) Жұлып тастады.
E) Бас сүйек.
20. Есім сөзден болып тұрған баяндауышты сөйлемді табыңыз.
A) Ердің сыншысы - ел.
B) Ол кеше кешкісін келіп еді.
C) Елге баруға мүмкіншілік жоқ.
D) Ауыл әлі ояна қойған жоқ еді.
E) Дала тіршілігі енді басталды.
21. Мекен пысықтауыш қатысып тұрған сөйлемді табыңыз.
A) Тауда жаңа ғана жаңбыр жауып өтті.
B) Әкем сөзімді үндемей отырып тыңдады.
C) Тапсырманы тез орында.
D) Асқардың өміріне қызықты.
E) Әсетке бола ағасы келіпті.
22. Жақты сөйлемді табыңыз.
A) Қанша ойлану керек.
B) Раушанмен танысқаныма шексіз қуаныштымын.
C) Сонша шырқап не керек?
D) Түн іші.
E) Мұныңызға нануға болады.
23. Шартты бағыныңқы сабақтас құрмалас сөйлемді көрсетіңіз.
A) Жақсы ұстаздық етсең, болашақтан тірек табарсың.
B) Біраз жүргеннен кейін, әкесінің қолынан бір шие түсіп кетеді.
C) Достық сын жақындатпаса, алыстатпайды.
D) Аяғын баса алмаған соң, еңбектеп есікке келді.
E) Ол өте науқастанып қалғандықтан, бара алмады.
24. Қыстырма сөзді сөйлемді табыңыз.
A) Мә, мынаны қарай тұр.
B) Ал, Абай аға, осы билік байлау ғой.
C) Жақсы, сынап берейін.
D) Апырау, сіздің ауыл алыс па?
E) Қысқасы, мүмкін, осы дұрыс та болар.
25. -Әке, сенгеніңізге рахмет!
Сызықшаның қойылу себебін көрсетіңіз.
A) Төл сөз.
B) Диалог.
C) Оқшау сөз.
D) Қаратпа сөз.
E) Бастауыш.