Предмет: Математика,
автор: secretik31
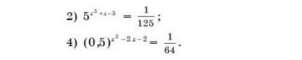
Решите уравнения пожалуйста
Приложения:
Ответы
Автор ответа:
1
Ответ: 2) х1= -2, х2=1
4) х1=-2, х2= 4
Пошаговое объяснение: на фото снизу
Приложения:
secretik31:
спасибо
Похожие вопросы
Предмет: Українська мова,
автор: polisucsona16
Предмет: Физика,
автор: nesvovaldavid2
Предмет: Физика,
автор: burmehanatalia20
Предмет: История,
автор: brietts87
Предмет: Другие предметы,
автор: polina10093745